Test no. (1)

Name:…………………………………………………..                           Group:………………………

________________________________________________________

Choose the correct answer:

1. What is the IUPAC name for the following compound?

 

 

(a)

1,3-pentamethylpropane

 

 

(b)

1,1,3,3-tetramethylbutane

 

 

(c)

2,4,4-trimethylpentane

 

 

(d)

2,2,4-trimethylpentane

 

 2. Which Newman projection shows the most stable conformation of the following

Compound?

 

 

3. The best nomenclature for the geometry of the following compound is...

 

 

(a)

cis-

 

 

(b)

trans-

 

 

(c)

E-

 

 

(d)

Z-

 

4.What is the best name for the following compound?

 

 

(a)

3-methylenehexane

 

 

(b)

2-propyl-1-butene

 

 

(c)

4-ethyl-4-pentene

 

 

(d)

2-ethyl-1-pentene

 

5. The mechanism of the reaction of propene with H3O+ will proceed through

which of The following intermediates?

 

 

 

6. The reaction of propene with HBr in the presence of ROOR (peroxide) proceeds

Through which of the following intermediates?

                     

7. What is the correct name for this molecule?

a. (2R,3R)-2-bromo-3-chlorobutane

b. (2S,3R)-2-bromo-3-chlorobutane

c. (2S,3S)-2-bromo-3-chlorobutane

d. (2R,3S)-2-bromo-3-chlorobutane

8. Determine the double bond stereochemistry (E or Z) for the following molecules.

a. A: E; B: E

b. A: Z; B: Z

c. A: E; B: Z

d. A: Z; B: E

9. Determine the double bond stereochemistry (E or Z) for the following molecules.

a. A: E; B: E

b. A: Z; B: Z

c. A: E; B: Z

d. A: Z; B: E

10. Which version of the radical halogenation of an alkane is MOST selective?

a. fluorination

b. chlorination

c. bromination

d. iodination

11. Ozonolysis (O3 in CH2Cl2) of compound A under reducing conditions (Zn /acetic acid) gives formaldehyde, 2-butanone, and compound B. Catalytic hydrogenation (H2/Pd) of A gives 2,7-dimethylnonane. What is a possible structure for compound A?

a. 2,7-Dimethyl-2,8-nonadiene

b. 2,7-Dimethyl-1,8-nonadiene

c. 2,7-Dimethyl-1,6-nonadiene

d. 2,7-Dimethyl-1,7-nonadiene

12. Which of the following compounds gives a secondary alcohol upon reaction withmethylmagnesium bromide? Assume the usual acid workup.

a. butyl formate

b. 3-pentanone

c. pentanal

d. methyl butanoate

 

Test no. (2)

Name:…………………………………………………..                           Group:………………………

________________________________________________________

 

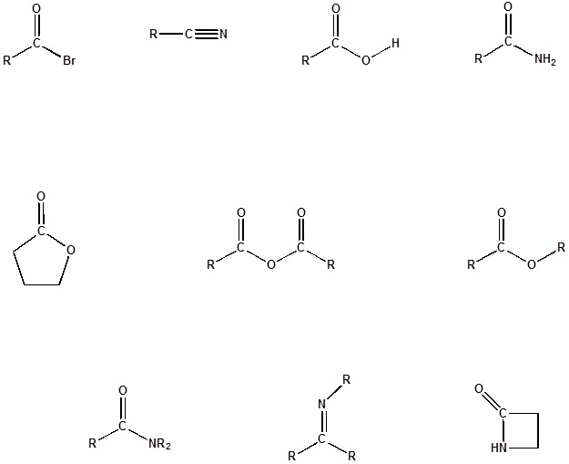
1)       Name the general class of organic compounds.

2)       Circle the more reactive molecule with respect to nucleophilic Acyl substitution.

 

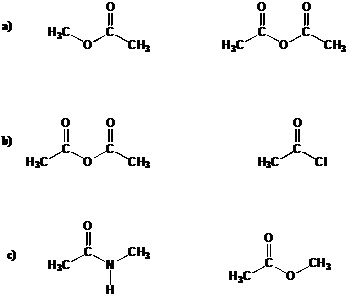
3)       Fill in all the missing products. (12 pts)

 

   4) Fill in all the missing reagents.

 

 

5) Draw the mechanism for oneof the nucleophilic acyl substitutions in number 4. 

You can use “Ph” for any phenyl rings in your mechanism.

 

6a)     Give the product of the following reaction.

6b) Draw all resonance structures for diazomethane.

7) Benzoic acid can be made from a wide variety of benzene derivatives. Fill in the missing reagents.

 

    

 

I) Draw the structures formula of the following:-

a) 2- methyl-4-penten-2-ol.

b) trimethyl carbonil.

c) Z-1-bromo-1,2- dichloropropene

d) 2R,3S- tartaric acid.

e) 2,4,6- trinitrotolune

II) Arrange the following compounds according to the indicating     

      property.

a)    2-chlorobutane, t-butyl chloride, 1-chlorobutane and methyl  

      chloride.                               ( reactivity towards SN1).

b)    methyl carbinol, ethylene glycol, methanol, propane and glycerol.

                                                    ( boiling point).

c)    propene, 2,3—dimethyl-2-butene,  trans-2- butane and 2-methyl-2-butene.

                                                             ( stability) .

d)    sec-butyl alcohol, ethyl alcohol and t- butyl alcohol.

                                                             ( ease of dehydration).

e)    dimethyl carbinol, water, t- butyl alcohol and methyl alcohol.

                                                             ( acidity).

III) Write the reaction mechanisms for the following:-

a)    3-methyl-2-butanol / H+.

b)    Ehanol + SOCl2.

c)    3,3-dimethyl-1-butene / HBr.

d)    Anisol / HNO3, H2SO4.

e)    t- butyl bromide / NaOH

IV)a) Starting from 3-methyl-1-butene, how to prepare the following:-

i)                3-methyl-1- butanol.

ii)              3-methyl-2- butanol.

iii)            2-methyl-2- butanol.

 

b)   Discus the aromaticity of the following compounds:-

 

            

 

V)Complete the following equations:-

 

 

Test no. (3)

Name:…………………………………………………..                           Group:………………………

________________________________________________________

2. What is the IUPAC name for the following compound?

 

 

(a)

1,3-pentamethylpropane

 

 

(b)

1,1,3,3-tetramethylbutane

 

 

(c)

2,4,4-trimethylpentane

 

 

(d)

2,2,4-trimethylpentane

 

 3.Which Newman projection shows the most stable conformation of the following compound?

4.The best nomenclature for the geometry of the following compound is...

 

(a)

cis-

 

 

(b)

trans-

 

 

(c)

E-

 

 

(d)

Z-

 

5.What is the best name for the following compound?

 

 

(a)

3-methylenehexane

 

 

(b)

2-propyl-1-butene

 

 

(c)

4-ethyl-4-pentene

 

 

(d)

2-ethyl-1-pentene

 

6. The mechanism of the reaction of propene with H3O+ will proceed through which of the following intermediates?

 

 

 

 

 

 

7. The reaction of propene with HBr in the presence of ROOR (peroxide) proceeds through which of the following intermediates?

 

 

                     

8. What is the correct name for this molecule?

a. (2R,3R)-2-bromo-3-chlorobutane

b. (2S,3R)-2-bromo-3-chlorobutane

c. (2S,3S)-2-bromo-3-chlorobutane

d. (2R,3S)-2-bromo-3-chlorobutane

9. Determine the double bond stereochemistry (E or Z) for the following molecules.

a. A: E; B: E

b. A: Z; B: Z

c. A: E; B: Z

d. A: Z; B: E

10. Determine the double bond stereochemistry (E or Z) for the following molecules.

a. A: E; B: E

b. A: Z; B: Z

c. A: E; B: Z

d. A: Z; B: E

11. Which version of the radical halogenation of an alkane is MOST selective?

a. fluorination

b. chlorination

c. bromination

d. iodination

12. Ozonolysis (O3 in CH2Cl2) of compound A under reducing conditions (Zn /acetic acid) gives formaldehyde, 2-butanone, and compound B. Catalytic hydrogenation (H2/Pd) of A gives 2,7-dimethylnonane. What is a possible structure for compound A?

a. 2,7-Dimethyl-2,8-nonadiene

b. 2,7-Dimethyl-1,8-nonadiene

c. 2,7-Dimethyl-1,6-nonadiene

d. 2,7-Dimethyl-1,7-nonadiene

13.with methylmagnesium bromide?

a. 3-methylpentanal

b. ethyl benzoate

c. 4,4-dimethylcyclohexanone

d. 4-heptanone

14. Which of the following compounds gives a secondary alcohol upon reaction with methylmagnesium bromide? Assume the usual acid workup.

a. butyl formate

b. 3-pentanone

c. pentanal

d. methyl butanoate

 

 

أخر تحديث للصفحة : 5/27/2021 5:13:39 PM
عدد القراءات : 6498

جميع الحقوق محفوظة لجامعة دمنهور © 2016
تصميم وتنفيذ مشروع البوابة الإلكترونية